Translate

Tampilkan postingan dengan label soal jawab energi. Tampilkan semua postingan
Tampilkan postingan dengan label soal jawab energi. Tampilkan semua postingan

Kamis, 21 Oktober 2021

Soal dan Jawaban Energi (1)

 Energi Potensial

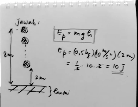
1. Sebuah batu yang massanya 0,5 kg jatuh dari ketinggian 8m diatas lantai rumahmu. Jika percepatan gravitasi 10 m/s2, coba hitung energi potensial batu itu pada ketinggian 2 m dari permukaan lantai rumahmu.
a. 10 J        b. 20 J        c. 40 J        d. 80 J
 

Jawabnya 
a. 10 J






















2. Buah sirsak massa 0,5 kg, tingginya 6 m di atas tanah kebun.Jika percepatan gravitasi 10 m/s2, maka energi potensial buah sirsak itu adalah...











a. 3J        b. 30J        c .6J        d. 60J
Jawabnya
b.30J

















3. Dua kotak A dan B mempunyai hubungan massa mA = 2 mB ,sedangkan ketinggiannya mA = 2 mB , hA = 1/2 hB dari permukaan tanah. Jika percepatan gravitasi 10 m/s2,maka berapakah perbandingan energi potensial kotak A dengan kotak B ?
a. 1 : 1
b. 1 : 2
c. 2 : 1
d. 1 : 4

Jawab : 

 













4. A machine is able to lift 200 kg of bricks vertically up to a height 0f 30 m above the ground in 50 s. What is the power of the machine? 
a. 0.12 kW
b. 1.2 kW
c. 6.0 kW
d. 300 kw
(sekali-kali kita lihat soal dari sebrang ya bro...jawabannya kita pake Bahasa Indonesia aja yea...)

Solusinya gays :



















jadi jawabannya b. 1,2 kiloWatt










yang sering mampir disini

Soal dari teman guys

Ini soal dari temanmu...bukan nyontek dari aplikasi, kasian kalo ngga dibantu...supaya ngga hilang dokumennnya, gue simpen disini ye...jadi ...

paling populer